Climatic, Hydrological and Air Quality Determinants of Black Alder (Alnus glutinosa [L.] Gaertn.) Ecological Niche Model in the Bosna River Basin
doi: https://doi.org/10.5552/crojfe.2026.3566
volume: issue, issue:
pp: 13
- Author(s):
-
- Starčević Mirsada
- Čabaravdić Azra
- Article category:
- Original scientific paper
- Keywords:
- species distribution model, average annual sum of precipitations, average annual 24-hour maximum carbon dioxide concentration, Bosnia and Herzegovina
Abstract
HTML
In Bosnia and Herzegovina, black alder appears in scattered smaller forest stands, fragments and patches that are still not spatially separated and allocated in management plans, despite its high ecological importance. The objective of this study is to model a black alder ecological niche considering combined effects of climate, hydrological and air quality determinants to support decision-making of conservation and restoration activities on a local/regional level. Black alder occurrence was registered on 72 temporary sample plots representing about 1500 trees in the Bosna River basin corresponding to Level 6, EU-Hydro River Network Database. Six climatic variables (average annual temperature, minimum temperature, maximum temperature, sum of temperature above 5°, sum of precipitation, maximum precipitation), five hydrological variables (average annual flow, minimum flow, maximum flow, flow between 1961–1990 and water level) and five air quality variables (average annual concentration of air particulate matter of PM2.5 and PM10 mm, SO2, NO2, maximum CO2) were interpolated spatially on 10 m grain size based on hydro-meteorological data from 13 national stations. The MaxEnt method was used to predict spatial distribution model, where predicted occurrence probabilities are classified in habitat suitability classes. The MaxEnt model revealed high-quality spatial prediction (AUC=0.95). The most significant determinants were average annual sum of precipitation and average annual 24-hour maximum CO2 concentration (cumulative about a 72% contribution). The highest occurrence probabilities were related to areas with less than 1400 mm of annual sum precipitation and elevated CO2 linked to low NO2. The areas with high species occurrence are mainly located in continental Bosnian Internal Dinarides in the valley and partly on hilly and sub-mountainous positions overlapping pedunculated oak-hornbeam and Illyrian sub-mountainous beech forests. Modeled ranges of precipitations and air variables concentrations indicate that black alder prefers continental low hilly and plane positions covering forest edges, although some suitable ecological niches are predicted in sub-urban and peri-urban green areas. The obtained model of species distribution determined spatially ecological niches important for conservation and restoration to maintain ecological services and biodiversity as well as aesthetic and recreational roles of black alder, which are important for local communities.
Climatic, Hydrological and Air Quality Determinants of Black Alder (Alnus glutinosa [L.] Gaertn.) Ecological Niche Model in the Bosna River Basin
Mirsada Starčević, Azra Čabaravdić
https://doi.org/10.5552/crojfe.2026.3566
Abstract
In Bosnia and Herzegovina, black alder appears in scattered smaller forest stands, fragments and patches that are still not spatially separated and allocated in management plans, despite its high ecological importance. The objective of this study is to model a black alder ecological niche considering combined effects of climate, hydrological and air quality determinants to support decision-making of conservation and restoration activities on a local/regional level. Black alder occurrence was registered on 72 temporary sample plots representing about 1500 trees in the Bosna River basin corresponding to Level 6, EU-Hydro River Network Database. Six climatic variables (average annual temperature, minimum temperature, maximum temperature, sum of temperature above 5°, sum of precipitation, maximum precipitation), five hydrological variables (average annual flow, minimum flow, maximum flow, flow between 1961–1990 and water level) and five air quality variables (average annual concentration of air particulate matter of PM2.5 and PM10 mm, SO2, NO2, maximum CO2) were interpolated spatially on 10 m grain size based on hydro-meteorological data from 13 national stations. The MaxEnt method was used to predict spatial distribution model, where predicted occurrence probabilities are classified in habitat suitability classes. The MaxEnt model revealed high-quality spatial prediction (AUC=0.95). The most significant determinants were average annual sum of precipitation and average annual 24-hour maximum CO2 concentration (cumulative about a 72% contribution). The highest occurrence probabilities were related to areas with less than 1400 mm of annual sum precipitation and elevated CO2 linked to low NO2. The areas with high species occurrence are mainly located in continental Bosnian Internal Dinarides in the valley and partly on hilly and sub-mountainous positions overlapping pedunculated oak-hornbeam and Illyrian sub-mountainous beech forests. Modeled ranges of precipitations and air variables concentrations indicate that black alder prefers continental low hilly and plane positions covering forest edges, although some suitable ecological niches are predicted in sub-urban and peri-urban green areas. The obtained model of species distribution determined spatially ecological niches important for conservation and restoration to maintain ecological services and biodiversity as well as aesthetic and recreational roles of black alder, which are important for local communities.
Keywords: species distribution model, average annual sum of precipitations, average annual 24-hour maximum carbon dioxide concentration, Bosnia and Herzegovina
1. Introduction
Black alder (Alnus glutinosa [L.] Gaertn.) is a broadleaved species naturally widespread across Europe along a wide ecological gradient. It mostly occurs below 800 m in elevation in riparian zones, river basins and streams (Slezák et al. 2011, 2017, Hrivnák et al. 2013, 2022, Caudullo et al. 2017), but it is occasionally registered in hilly and mountainous areas up to 1800 m (Barudanović 2003, Milanović and Stupar 2017, Lukyanets et al. 2022). Although it is known as a tolerant species, suitable environmental conditions for black alder include a continental and more humid climate with sufficient water supply during dry and warm summer periods and satisfactory access to groundwater (Claessens et al. 2010). For edge-distributed alder populations in southern Europe, high atmospheric humidity during reproductive cycle phases is an important climate parameter for development (Bensimon 1985).
Climate change, anthropogenic pressures, and site fragmentation are the main threats to alder forest decline and spatial distribution loss, especially for the southern European and Mediterranean populations in river basins (Palmer et al. 2008, Rojo et al. 2021). Anthropogenic pressures such as agriculture and urban expansion have led to a significant reduction of floodplain forests, leaving behind fragmented patches, which are increasingly threatened by a range of factors, including climate change, invasive species, altered hydrological regimes, eutrophication, intensive forest management, and the discontinuation of traditional land use, which all contribute to habitat homogenization across multiple spatial scales (Havrdová et al. 2023). Increasing aridity in upper river basins (Attorre et al. 2011) and alder pollen season delays (Rojo et al. 2021) will lead to a reduction in black alder habitat under future climate change. Sakalli (2017) predicted that climate change will affect Alnus spp. migration northwards in the Northern Hemisphere. Vukelić et al. (2006) analyzed the changes in the most productive and diverse black alder stands in Podravina (Drava River basin in Croatia) related to variations in ecological conditions due to anthropogenic pressures that transformed the river morphology. These authors highlighted the disappearance of hydrophytes and hygrophytes, the expansion of thermopiles species, and syndynamic development of recognizable communities. The described threats indicate the need for a careful assessment of black alder spatial distribution. The majority of studies of forest tree species spatial distribution address climate factors as the primery and other ecological factors as a secondary determinant, although interactive effects are indispensable. Hemery et al. (2010) and Luedeling et al. (2011) reported a limiting influence of precipitation and temperature on alder forests, addressing aridity and warming as the most significant factors. The most recent research discussed range shifts of five Alnus species in China under future climate scenarios (Yang et al. 2025). This study projected habitat contraction, range expansion as well as a potential species migration indicating species-specific patterns. Authors emphasized cosmopolitan distribution of Alnus species and challenge to investigate alder species response on climate changes in other temperate zones globally.
Several studies have highlighted the strong impact of hydrological changes on alder growth, with negative connotations of over-flooding and water logging, and prevalence significance compared to climate factors (Kozlowski 1997, Laganis et al. 2008, Douda et al. 2009, Rodríguez-González et al. 2010, 2014, Tulik et al. 2020). Rojo et al. (2021) highlighted the river flow contribution to alder forests. Potential alder habitats can be identified by combining factors interaction, not only climatic variables alone (Sakalli 2017). As emphasized by Vogel et al. (1997) and Temperton et al. (2003), black alder is competitively exposed to air pollution as well as elevated carbon dioxide (CO2) concentrations, so air quality variables also appear to be potential determinants of habitat suitability. De Marco et al. (2022) quoted that some modeling studies demonstrated that jointly assessing the effect of climate change and air pollution greatly helps to understand forests as well as their future development.
In Bosnia and Herzegovina, as in many other European countries, alder forests occupy a small surface area (approximately 1%) (Claessens et al. 2010). Here, black alder forests do not have high economic value but their ecological contribution is recognized and confirmed. By analyzing the distribution and origin of cytotypes of A. glutinosa in Europe, Mandák et al. (2016) found that tetraploid black alder populations occupied two distinct areas: the Iberian Peninsula (Portugal, Spain) with northern Africa (Morocco) and the Dinaric Alps and adjacent areas of Greece, Albania, Montenegro, Serbia and Bosnia and Herzegovina. These authors found that diploids and tetraploids overlap to a small degree in the Dinaric Alps and that triploids appear in the Balkan populations. All three groups are registered in the Dinaric part of the Bosna River basin, highlighting their ability to grow at the bottom of deep valleys at lower elevations around the core tetraploid populations, which indicates black alder adaptation at sites in the Bosna River basin and emphasizes their importance as genetic pools (Mandák et al. 2016).
Black alder sites in the Bosna River basin are mostly fragmented, in river lines and valley microclimate locations providing ecological services over productivity, especially on warmer borders of its natural range (Starčević et al. 2023, 2024). There are only a few reviews about black alder habitat in Bosnia and Herzegovina, and they are fairly under-investigated in relation to larger rivers and their tributaries (Lakušić et al. 1978, Douda et al. 2009, Dukić et al. 2012, Milanović and Stupar 2017, Koljanin et al. 2023).
Recent studies of the current and future spatial distributions and habitat suitability of forest tree species have relied on different software and algorithms. Some studies achieved high model performance using MaxEnt software for modeling species niches and distributions. MaxEnt algorithm requires observation of occurrence of investigating phenomenon only (presence-only data) and, as other spatial modeling procedures, presumes spatial representativity (Phillips et al. 2006).
Modeling of current and future tree species distributions in the Western Balkans, using MaxEnt, was performed for the main forest species (i.e. holm oak (Quercus ilex), downy oak (Q. pubescens), pedunculate oak (Q. robur), sessile oak (Q. petraea), European beech (Fagus sylvatica), silver fir (Abies alba), mountain pine (Pinus mugo) and Scots pine (P. sylvestris) (Vukelić et al. 2010). Sallmannshofer et al. (2021) predicted global and regional models for seven riparian foundation species: black alder, narrow-leaved ash (Fraxinus angustifolia), European ash (F. excelsior), black poplar (Populus nigra), pedunculate oak, field elm (Ulmus minor) and European white elm (U. laevis) within the transboundary Biosphere Reserve along the Mura-Drava-Danube rivers.
The objective of this study is to model ecological niche and evaluate habitat suitability for black alder concerning current climatic, hydrologic, and air quality conditions in the Bosna River basin. The stated aims were:
to determine climatic, hydrological and air variables of the highest importance for black alder occurrence based on the MaxEnt best performance
to determine spatially the most suitable habitats for black alder occurrence
to analyze overlapping suitable habitats for black alder with other forest types present in the lowland of the Bosna River basin.
In line with the stated objectives, the following research hypotheses were formulated:
climatic and hydrologic factors as well as air quality influence the occurance of black alder in the Bosna River basin
a specific subset of variables from these environmental groups is relevant in determining the presence of black alder
black alder is found in habitats overlapping with other lowland forest types, indicating a degree of ecological flexibility in its habitat preferences.
2. Materials and Methods
2.1 Study Area
The study area covers the Bosna River basin located in central Bosnia and the middle part of northern Bosnia near the Sava River. It is located between 43°35ʹ45.77ʺ–45°5ʹ0.36ʺ latitude and 17°26ʹ53.95ʺ–19°3ʹ3.41ʺ longitude, and ranges from 85 m to 2080 m a.s.l. on 10.510 km2 (Fig. 1). Current vegetation is classified as mesophilic deciduous broadleaved and conifer-broadleaved forests – Level I (EEA 2006). According to ecological-vegetation regionalization (Stefanović et al. 1983), Bosna River basin covers two eco-regions: the Internal Dinarides and the Pannonian region.
The continental climate, influenced and modified with reliefs and altitudes, dominates the whole Bosna River basin. The upper and middle watersheds are situated near Igman Mountain and hills at higher altitudes, while the lower part occupies the southern Pannonian plain on the north where the Bosna flows into the Sava River. The course of the Bosna River is directed northward, following the decreasing altitude of the mid-range Bosnian mountains. The Bosna River has a relatively high-water flow level in spring, while water flow levels are lower in summer, autumn and winter.
2.2 Terrestrial Sampling
To perform spatial distribution modeling using MaxEnt algorithm, observations of occurrence (presence data) of black alder were registered on 72 locations strategically identified in previous research in Bosna basin. To confirm black alder presence, we established a temporary plot of various sizes (encompassing homogenous group of alder trees randomly) per location, georeferenced center of plot and counted all trees. Minimum area of sample plot, with more than 50% black alder in number of trees, was 200 m2 (to relate terrestrial record with environmental spatial variables interpolated on a pixel size of 10x10 m). Geo-located plot centers refer to black alder presence on forested and other land-use classes (riparian zones outside of forests, industrial suburban and peri-urban areas, riversides near agricultural land). Plot center distribution assured spatial representativity relevant for spatial modeling.

Fig. 1 Study area. Bosnia and Herzegovina (boundary) and Bosna River basin (grey) with temporary sample plots (dark grey)
In this study, the available selected climatic, hydrological and air quality variables, registered in hydro-meteorological yearbooks for 2019 (hydrology), 2021 (air) and 2022 (climate) (Federal Hydro-meteorological Institute 2019, 2022a, b), were spatially interpolated covering all of Bosna and Herzegovina (Table 1). Rasterized thematic maps of climate, hydrological and air variables were used as continuous predictors in MaxEnt modeling.
Table 1 Climatic, hydrological and air variables
|
Type variable |
Code |
Description |
Source |
|
Climatic |
T |
Average annual temperature, °C |
[1] |
|
Tmin |
Average annual minimum temperature, °C |
||
|
Tmax |
Average annual maximum temperature, °C |
||
|
Tsum5 |
Average annual sum of temperature above 5°, °C |
||
|
Rsum |
Average annual sum of precipitation, mm |
||
|
Rmax |
Average annual maximum precipitation, mm |
||
|
Hydrological |
Q |
Average annual flow 2019, m3/s |
[2] |
|
Qmin |
Average annual minimum flow 2019, m3/s |
||
|
Qmax |
Average annual maximum flow 2019, m3/s |
||
|
WF |
Average annual flow 1961–1990, m3/s |
||
|
WL |
Average annual water level 2019, cm |
||
|
Air |
PM2.5 |
Average annual particles PM2.5 concentration, μg/m3 |
[3] |
|
PM10 |
Average annual particles PM10 concentration, μg/m3 |
||
|
NO2 |
Average annual nitrogen dioxide concentration, μg/m3 |
||
|
SO2 |
Average annual sulphur dioxide concentration, μg/m3 |
||
|
CO2max |
Average annual 24-hour carbon dioxide concentration, μg/m3 |
||
|
Federal Hydrometeorological Institute: Meteorological Yearbook 2022 [1], Hydrological Yearbook 2019 [2], Annual Air Quality Report in the Federation of Bosnia and Herzegovina for 2021 [3] |
|||
2.3 MaxEnt Modeling
Spatial distribution modeling of the black alder ecological niche was performed with MaxEnt software (Phillips et al. 2004, Phillips et al. 2006). The MaxEnt settings were used to adjust environmental and occurrence data. Although preferred black alder ecological niches are known, to avoid sampling bias, the terrestrial recording was comprehensive to cover less preferred areas as well. Also, if sample selection bias occures, MaxEnt alghortim uses background sampling strategy model parametar tuning (Phillips et al. 2006). Then, to preserve the proportional contribution of environmental conditions, spatial filtering was used to remove duplicate presence records (Radosavljevic and Anderson 2014).
First, correlation analysis between environmental layers was performed to check for variable multi-collinearity. Variable selection was based on the analysis performed with ENMTools R software program (R Core Team 2020). A raster correlation matrix was generated and used to examine groups of highly correlated variables and evaluate relationships between variables relevant for modeling. We relied on Merow´s statistical approach recommended by Petitpierre et al. (2017), where a small number of »proximal« variables were used.
Ten bootstrapping runs with 30/70 partition percentages were used to fit the models and evaluate the average model as well as the predictive performance of proximal variables. The response curves based on MaxEnt exponential model were analyzed to examine how the logistic prediction changed as each variable varied and all other variables were kept at their averages. To examine the contribution of each variable, the Jack-knife statistical technique was used. To assess the success of the model, the AUC (Area Under the Receiver Operating Curve) was used (Wang et al. 2023). The AUC value refers to the success of the model, indicating very good model success for values greater than 0.9, good model success for values in the range of 0.8–0.9, and poor success for the model with an AUC below 0.8 (Swets 1988, Phillips et al. 2004, Walden-Schreiner et al. 2017). The AUC values were compared for the training and test subsets to evaluate model fitting. Finally, the MaxEnt output map with cumulative raw values of the relative occurrence rate of black alder, rescaled to a range of 0–1, was generated. The predicted probabilities were mapped on the study area at a 10 m resolution in accordance with the interpolated environmental variables. To classify habitat suitability, the following ranges were applied: values below 0.05 were considered unsuitable, values between 0.05 and 0.33 indicated low suitability, values between 0.33 and 0.66 indicated medium suitability and values above 0.66 suggested highly suitable habitat (Gong et al. 2022).
3. Results
3.1 Climate, Hydrological and Air Quality Conditions
The descriptive statistics of the selected climate, hydrological and air variables for the 72 temporary sample plots are shown in Table 2. Between temperature averages, the highest range was determined for the average minimum temperature, while the average and average maximum temperature had narrower range values. For hydrology, the highest variability was determined for the average annual water flow and water level. All air quality variables exhibited relative variability below 30%.
Table 2 Descriptive statistics of sample climatic, hydrological and air quality data (n=72)
|
Type |
Variable |
Average |
St. Dev. |
Min. |
Max. |
Range |
|
Climate |
Average annual temperature, °C |
20.3 |
1.7 |
15.1 |
24.8 |
9.6 |
|
Average annual minimum temperature, °C |
–2.6 |
8.4 |
–3.7 |
–4.0 |
32.6 |
|
|
Average annual maximum temperature, °C |
19.4 |
1.7 |
17.7 |
23.7 |
6.1 |
|
|
Average annual sum of temperature above 5°, °C |
5126.1 |
656.8 |
3277.7 |
8586.3 |
3741.3 |
|
|
Average annual sum of precipitation, m |
1428.7 |
51.1 |
1381.3 |
1717.1 |
335.8 |
|
|
Average annual maximum precipitation, mm |
24.0 |
2.5 |
8.1 |
39.0 |
30.9 |
|
|
Hydrology |
Average annual flow, m3/s |
33.7 |
25.0 |
0.0 |
93.4 |
93.4 |
|
Average annual minimum flow, m3/s |
5.3 |
3.9 |
0.0 |
15.1 |
15.1 |
|
|
Average annual maximum flow, m3/s |
475.3 |
447.4 |
0.0 |
1557.4 |
1557.4 |
|
|
Average annual flow 1961–1990, m3/s |
29.3 |
30.3 |
0.0 |
97.9 |
97.9 |
|
|
Average annual water level, cm |
92.4 |
72.4 |
0.0 |
267.7 |
267.7 |
|
|
Air |
Average annual particles PM10, μg/m3 |
33.9 |
3.2 |
30.2 |
41.2 |
11.0 |
|
Average annual particles PM2.5, μg/m3 |
36.8 |
9.0 |
27.7 |
56.2 |
28.5 |
|
|
Average annual nitrogen dioxide, μg/m3 |
19.8 |
2.7 |
11.6 |
49.5 |
37.9 |
|
|
Average annual sulphur dioxide, μg/m3 |
47.5 |
8.9 |
28.6 |
62.2 |
33.6 |
|
|
Average annual 24-hour carbon dioxide concentration, μg/m3 |
2.3 |
0.2 |
0.0 |
2.8 |
2.8 |
3.2 Model Performance and Importance of Key Variables
Modeled environmental variables exhibited multi-collinearity between variables (temperature, precipitation, hydrology and air). The highest multi-collinearity was detected within the hydrology category, while Rsum, Rmax, PM10 and Tmin were the least correlated with the other variables.
Fitting was performed using the least correlated variables (Rsum, Rmax), in addition to variables distant in multidimensional scaling space, Tmax, WL, CO2 max and NO2, which are considered of biological importance for species.
One climate variable and two air variables exhibited the highest importance with an approximately 84% contribution to the model (Table 3). The most contributive variable was the annual sum of precipitation for achieving the highest gain compared to the other variables. The average annual 24-hour CO2 concentration contributed to the model. In addition, the average annual maximum temperature exhibited high training and test gains when used alone. Additionally, it was noted that if MaxEnt uses only the average annual maximum precipitation to achieve little gain, the variable is the least useful for the estimation.
Table 3 Percentage contributions of environmental variables to the MaxEnt model
|
Environmental variables |
Percent contribution, % |
Cumulative contribution, % |
Permutation importance, % |
|
Average annual sum of precipitation, mm |
58.8 |
58.8 |
14.1 |
|
Average annual 24-hour carbon dioxide concentration, μg/m3 |
13.2 |
71.9 |
5.8 |
|
Average annual nitrogen dioxide, μg/m3 |
12.3 |
84.2 |
5.7 |
|
Average annual water level, cm |
7.6 |
91.9 |
12.7 |
|
Average annual maximum precipitation, mm |
4.8 |
96.7 |
28.8 |
|
Average annual maximum temperature, °C |
3.3 |
100.0 |
32.9 |
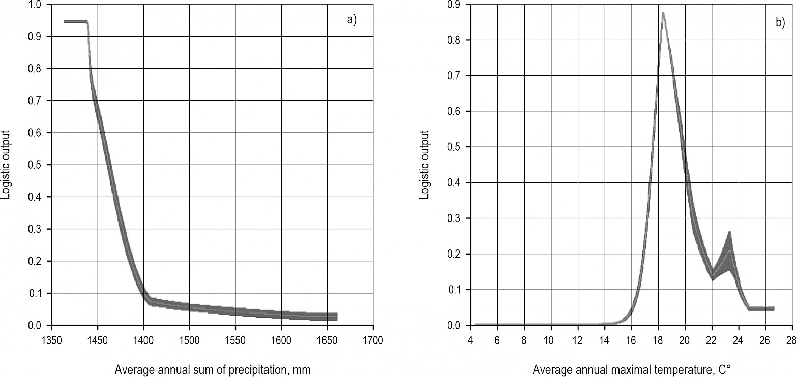
In total, the contributions to the MaxEnt model were 66.9%, 7.6% and 25.5% for climatic, hydrological and air variables, respectively. Response curves for determinants with the highest percent contribution (average annual sum of precipitation) and permutation importance (average annual maximum temperature) are shown in Fig. 2.

Fig. 2 Response curves for average annual sum of precipitation (a) and average annual maximum temperature (b)
The results showed a very high probability of occurrence when the average annual sum of precipitation is less than 1400 mm (Fig. 2a). The response curve for the average annual annual maximum temperature showed that the black alder habitat suitability ranged from 17°C to 20°C (Fig. 2b).
The average annual water level contributed to the model with an approximate 7.6%.
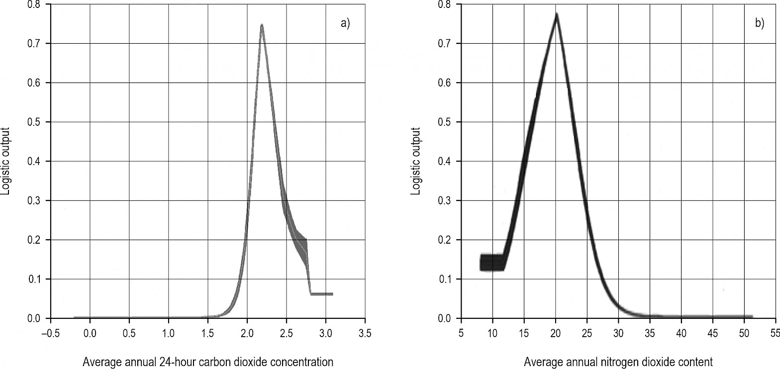
Concerning the most important air quality variables, an increase in CO2 leads to an increase in occurrence probability, achieving the highest probability at higher maximum CO2 concentrations. The highest probability is determined for areas with lower annual averages of NO2 (Fig. 3).

Fig. 3 Response curves for: average annual 24-hour carbon dioxide concentration (a), average annual nitrogen dioxide content (b)
The obtained MaxEnt model predicted the occurrence probability for black alder with satisfactory statistical accuracy for training and test subsets with similar AUC values of 0.952 and 0.949, respectively
3.3 Predicted Spatial Distribution of A. glutinosa
The MaxEnt model generated a potential distribution with the occurrence probability of black alder in the Bosna River basin under the current climate, hydrology and air quality conditions (Fig. 4).

Fig. 4 Habitat suitability for black alder under the current climate, hydrology and air conditions: (a) the whole area, (b) forested areas only
The most suitable areas for black alder occurrence are predicted across the Internal Dinarides in the upper Bosna River basin. The area of predicted suitable habitat sharply decreased in the northern hilly and plain parts of the basin and was almost absent in the Pannonian part of the basin (Table 4). In total, about 130 ha of highly and moderately suitable areas for black alder occurrence and growth in Internal Dinarides were predicted.
Table 4 Predicted spatial structure of black alder habitat suitability for ecological-vegetation areas in forested areas in Bosna River basin
|
Region |
High >0.8 |
Moderate 0.4–0.8 |
Low 0.2–0.4 |
Not suitable <0.2 |
Total |
|||||
|
Area km2 |
%* |
Area km2 |
%* |
Area km2 |
%* |
Area km2 |
%* |
Area km2 |
%* |
|
|
Bosnian Internal Dinarides |
49.2 |
4.0 |
77.3 |
6.3 |
385.5 |
31.6 |
134.5 |
11.0 |
646.6 |
53.0 |
|
Pannonian Region |
0.0 |
0.0 |
0.7 |
0.1 |
370.6 |
30.4 |
202.8 |
16.6 |
547.1 |
47.0 |
|
Total |
49.2 |
4.0 |
77.9 |
6.4 |
756.2 |
61.9 |
337.3 |
27.6 |
1220.7 |
100.0 |
|
* Percentage structure within area of reliable prediction of habitat suitability class on managed forested area |
||||||||||
Then, we analyzed the percentage structure of habitat suitability classes in forested areas only and separated them into two parts: hilly broadleaved and mixed forests outside of riparian zones and forested riparian zones (Fig. 5).

Fig. 5 Habitat suitability area percentage structures for different classes
It is predicted that highly and moderately suitable habitats are more present in hilly broadleaved and mixed forests outside the riparian zones (5.4%) than in riparian zones (1.3%). Approximately 25% of the area is classified as less suitable, while approximately 67% of the forested area is unsuitable for black alder.
Additionally, a similar analysis considering structure of habitat suitability in different forest communities was performed (Fig. 6). Three forest types dominate the study area: pedunculated oak and hornbeam, Illyrian sub-mountainous beech, and sessile oak and hornbeam forests, with 50%, 24% and 10% of the total area, respectively. The largest areas of moderately and highly suitable classes for black alder appeared in pedunculated oak and hornbeam forests and Illyrian sub-mountainous beech forests, with 4% and 3%, respectively.

Fig. 6 Habitat suitability area percentage structures for communities in the Bosna River basin
4. Discussion
Recent reviews of forest ecosystem services in riparian areas where Alnus species occur have reported that most studies considered riparian zones only at the national level (Dinca et al. 2025). Relevant international studies on Alnus glutinosa include niche modeling of its origins and geographical structure in Europe (Mandák et al. 2016), and research on plant species richness in black alder forests in Central Europe (Hrivnák et al. 2024). Martin et al. (2024) noted that the distribution, diversity, and genetic structure of Alnus species remain unknown in the Mediterranean basin. The most relevant international study we identified is the research on spatial distribution modeling conducted within the transboundary Mura-Drava-Danube Biosphere Reserve, located in south-eastern Europe (Austria, Slovenia, Croatia, Hungary, and Serbia). In contrast, the Bosna River basin belongs to the Sava watershed within the Danube hydrological system.
4.1 MaxEnt Model Performance
The spatial distribution of forest tree species is influenced by numerous environmental factors and their complex interactions defining species ecological niche and habitat. Several studies have reported spatial distribution models with acceptable or even very high accuracy for forest tree species (Vukelić et al. 2010, Kaky et al. 2020, Jha and Jha 2021, Liu et al. 2022, Gao et al. 2022, Campos et al. 2023, Wang et al. 2023). Vukelić et al. (2010) reported spatial distribution models for the main tree species (silver fir, European beech, Norway spruce (Picea abies), mountain pine, black pine, Scots pine, pedunculate oak, sessile oak, holm oak, and downy oak) in forested areas in Slovenia, Croatia and Bosnia and Herzegovina with AUC values ranging from 0.745 (European beech) to 0.976 (mountain pine). Sallmannshofer et al. (2021) developed continent-wide and regional current and future prediction maps using MaxEnt for the following forest tree species: black alder, narrow-leaved ash, European ash, black poplar, pedunculate oak, European white elm, and field elm. In their research, a similar result was obtained for continent-wide model for black alder in the transboundary Biosphere Reserve Mura-Drava-Danube with very high True Skill Statistics (TSS=1.00), while regional model resulted in lower but sufficient accuracy (TSS=0.79). In the present study, the black alder spatial distribution model achieved high overall accuracy and very good model success (AUCtrening=0.952, AUCtest=0.949). Our results indicate that MaxEnt modeling of forest tree species spatial distribution in a wider area of the Bosna River basin achieved high accuracy as a predictive model useful for further analysis.
4.2 Variable Importance
Generally, MaxEnt modeling addresses the most influential environmental factors (topography, climate, hydrology, edaphic, geology) for more probable occurrence of species. In the literature, Sallmannshofer et al. (2021) addressed the most important variables for a continent-wide model in the transboundary Biosphere Reserve Mura-Drava-Danube: autumn maximum temperature, SHM (summer heat moisture) index and annual precipitation. These authors reported that the vertical distance measured from the surface of the nearest water bodies and the Annual Heat Moisture (AHM) index are the most important variables for the regional model. Other studies confirmed that extreme temperatures, annual precipitation and water availability strongly affect black alder occurrence, while contributions of other variables modify the spatial distribution model locally (Sallmannshofer et al. 2021, Vukelić et al. 2010). The most recent study about range shifts of five Alnus species in China under future climate scenarios quoted temperature seasonality as the most critical determinant shaping the potential distributions of alders under future climate scenarious (Yang et al. 2025).
In the present study, the average annual sum of precipitation and the average annual 24-hour CO2 concentration were determined as environmental variables with the highest contribution to the model obtained. It is characteristic that the average annual sum of precipitation outperforms the impact of other climatic and hydrological variables in the model. The average annual sum of precipitation, in addition to the average water level, appears as limiting determinant for framing species ecological niche. It seems that the average annual sum of precipitation up to 1400 mm and the average water level between 20 cm and 200 cm provide sufficient water supply needed for species existence. Many studies reported that annual precipitation must be high if other climatic (dry and warm periods in summer) and hydrological impacts (water flow) influence water deficit (Claessens et al. 2010, Rutkowski et al. 2019). It seems that the determined range of the average annual sum of precipitation is satisfactory for high probability of species occurrence compensating for other insufficient sources of water supply. Related to the contribution of other determinants to the model, two air quality variables - the average annual 24-hour CO2 concentration and the average annual nitrogen dioxide - participated with about 25%. In this regard, studies have shown that black alder removes air pollutants (SO2, NOX, dust particles) improving air quality (Vogel et al. 1997, Temperton et al. 2003). Some studies reported that nitrogen-fixing trees, with increasing atmospheric CO2, increase both C assimilation and total N2 fixation, and can take advantage of extra assimilated carbon by increasing growth, biomass production and photosynthesis (Mousseau and Saugier 1992, Kimball et al. 1993, Vogel et al. 1997, Temperton et al. 2003) without potential nitrogen limitation (Temperton et al. 2003). We included air quality variables relevant to the populated Bosna River basin and noted that black alder appears with high probability in areas with high concentrations of maximum CO2 corresponding to low NO2 concentrations. This confirms the known ability of black alder to grow in industrial areas, near mines and polluted environments.
4.3 Habitat Suitability Prediction
The probabilities of forest tree species occurrence under current and future environmental conditions have been used to classify habitat suitability in many studies (Çoban et al. 2020, Jha and Jha 2021, Liu et al. 2022, Chi et al. 2023). According to the results of the present study, the habitat suitability classes cover 67.7% (unsuitable), 25.8% (low suitability), 4.7% (moderate suitability) and 1.9% (high suitability) of forested areas including riparian zones. Moderately and highly suitable areas occupy approximately 7% of the forested area, which is similar to the conditions present on temporary plots. This indicates a low occurrence of black alder in the investigated area as well as limited environmental conditions for its spatial distribution. However, recent research has highlighted the drivers of potential changes in preferred habitats of Alnus species (Yang et al. 2025, Martin et al. 2024). Yang et al. (2025) predicted range shifts for five Alnus species under future climate scenarios, indicating species-specific responses. The authors predicted expansion toward higher latitudes and elevations for three species (A. cremastogyne, A. mandshurica, and A. hirsuta), and habitat contraction for one species (A. ferdinandi-coburgii). Martin et al. (2024) reported on the distribution, diversity, and genetic structure of Alnus species (A. glutinosa and A. lusitanica) in Spain, emphasizing that these structures are still largely unknown in the Mediterranean basin. The authors highlighted the need to investigate Alnus genetic differentiation, particularly as the recently discovered tetraploid A. lusitanica has shown tolerance to global warming conditions (Gomes Marques et al. 2022). Populations of tetraploid Alnus identified in the northern part of the Bosna River basin are currently located in habitats with low suitability for A. glutinosa. These edge populations could potentially serve as a reservoir of reproductive material for more widespread Alnus species within the Bosna River basin. A similar potential exists for Alnus hybrids located along tributaries in the central part of the Bosna River basin (Bašić et al. 2014).
4.4 Ecological Niches Overlapping
Terrestrial observations revealed that black alder stands are not spatially concentrated as a unique forest type but appear as patches, fragments, or smaller groups of trees. Predicted suitable habitats overlaid pedunculated oak and hornbeam (50%), Illyrian sub-mountainous beech (24%), sessile oak and hornbeam (10%) and other forests (16%). Similarly, Vukelić et al. (2010) discussed sessile oak horizontal redistribution with vertical ecological niche stratification in the western part of south-eastern Europe, which would be challenging for the remaining black alder sites. A promising perspective for black alder presence in a wider area was identified in the case study of the transboundary biosphere reserve Mura-Drava-Danube (Sallmannshofer et al. 2021). The authors predicted an increase in black alder distribution under expected climate and hydrological changes, indicating the ability of black alder to adapt and expand. Those findings are promising for black alder sustainability in the Bosna River basin but the actual small spatial extent as well as modeled suitable habitats call for forest and conservation management.
5. Conclusions
This study aimed to determine the ecological niche suitability of black alder existence under current climatic, hydrological and air conditions in the Bosna River basin using derived spatial data. The obtained results are in accordance with the research hypotheses regarding influential environmental factors, the significance of individual variables, and habitat overlap patterns.
Importance of environmental factor groups emphasized the role of water supply trough precipitation and air quality variables, while the impact of temperature was less pronounced in the current spatial distribution. The results confirmed that the average annual sum of precipitation and the maximum daily CO₂ concentration are the most important determinants of black alder occurrence, with precipitation having a stronger impact than water flow or water level. Air quality, quantified through CO₂ concentration, emerged as a relevant factor, supporting the inclusion of atmospheric data in habitat suitability modeling. Related to positions, a larger area of suitable habitat was predicted at higher altitudes in the Internal Dinarides compared to the southern Pannonian Plain. In the Internal Dinarides, moderate and highly suitable areas partly overlap with oak and beech forests, indicating potential interspecific competition and challenges for alder sustainability.
Compared to international studies that typically highlight groundwater levels and soil pH as key factors, this study introduces air quality as a novel and important variable, reflecting region-specific ecological pressures.
The results of this study can support decision-making and raise awareness regarding the importance of black alder sustainable forest and conservation management. The findings can support forest managers and planners in identifying and preserving the exisiting alder communites on high-suitability habitats, prioritizing restoration of degraded and devastated stands using local reproductive material on moderatly suitable habitats, and monitoring marginal edge populations for potential genetic variability. They also provide a foundation for developing adaptive forest management for forest management classes with incresing alder participation in areas coexisting with other tree species, contributing to decisions related to reforestation, afforestation, and silvicultural interventions.
The applied modeling approach demonstrates strong potential for use in river basins with small and fragmented stands. It allows evaluation of the relative influence of climate, water availability, and air quality, and has the potential to integrate other available spatial information, such as soil and geology characteristics, as well as anthropogenic pressures (distance from settlements and infrastructure, hydrology network regulation and others). Applied modeling procedures are useful for spatial distribution modeling in initial phase of genetic, morphological, physiological, plant community and biodiversity research.
The main constrains of this study include the need for spatial interpolation of key environmental variables and the development of more detailed GIS-based maps, as well as complex interpretation of influental environmental factors. Nevertheless, further region- or basin-dependent studies are needed to investigate black alder distribution and redistribution dynamics as well as the impact of upcoming environmental changes (antropological preassures, climate uncertainties) to join international efforts to protect ecological contributions of alder species.
6. References
Attorre, F., Alfò, M., De Sanctis, M., Francesconi, F., Valenti, R., Vitale, M., Bruno, F., 2011: Evaluating the effects of climate change on tree species abundance and distribution in the Italian peninsula: Evaluating the effects of climate change on tree species abundance and distribution. Applied Vegetation Science 14(2): 242–255. https://doi.org/10.1111/j.1654-109X.2010.01114.x
Barudanović, S., 2003: Ekološko-vegetacijska diferencijacija lišćarsko-listopadnih šuma planine Vranice: doktorska disertacija. Prirodno- matematički fakultet, Univerzitet u Sarajevu, Sarajevo.
Bašić, N., Selimović, E., Pustahija, F., 2014: Morphological identification of nothospecies Alnus x pubescens Tausch. And their new localities in central Bosnia. Works of the Faculty of Forestry University of Sarajevo 44(1): 15–24. https://doi.org/10.54652/rsf.2014.v44.i1.103
Bensimón, C., 1985: Male sterility in Alnus glutinosa (L.) Gaertn. Silvae Genetica 34: 69–72.
Campos, J.C., Garcia, N., Alírio, J., Arenas-Castro, S., Teodoro, A.C., Sillero, N., 2023: Ecological Niche Models using MaxEnt in Google Earth Engine: Evaluation, guidelines and recommendations. Ecological Informatics 76: 102147. https://doi.org/10.1016/j.ecoinf.2023.102147
Caudullo, G., Welk, E., San-Miguel-Ayanz, J., 2017: Chorological maps for the main European woody species. Data in Brief 12(C): 662–666. https://doi.org/10.1016/j.dib.2017.05.007
Chi, Y., Wang, G.G., Zhu, M., Jin, P., Hu, Y., Shu, P., Wang, Z., Fan, A., Qian, P., Han, Y., Jin, S., 2023: Potentially suitable habitat prediction of Pinus massoniana Lamb. in China under climate change using Maxent model. Frontiers in Forests and Global Change 6: 1144401. https://doi.org/10.3389/ffgc.2023.1144401
Claessens, H., Oosterbaan, A., Savill, P., Rondeux, J., 2010: A review of the characteristics of black alder (Alnus glutinosa (L.) Gaertn.) and their implications for silvicultural practices. Forestry 83(2): 163–175. https://doi.org/10.1093/forestry/cpp038
Çoban, H.O., Örücü, Ö.K., Arslan, E.S., 2020: MaxEnt Modeling for Predicting the Current and Future Potential Geographical Distribution of Quercus libani Olivier. Sustainability 12(7): 2671. https://doi.org/10.3390/su12072671
Claessens, H., Oosterbaan, A., Savill, P., Rondeux, J., 2010: A review of the characteristics of black alder (Alnus glutinosa (L.) Gaertn.) and their implications for silvicultural practices. Forestry 83(2): 163–175. https://doi.org/10.3390/su12072671
De Marco, A., Sicard, P., Feng, Z., Agathokleous, E., Alonso, R., Araminiene, V., Augustatis, A., Badea, O., Beasley, J.C., Branquinho, C., Bruckman, V.J., Collalti, A., David-Schwartz, R., Domingos, M., Du, E., Garcia Gomez, H., Hashimoto, S., Hoshika, Y., Jakovljevic, T., McNulty, S., Oksanen, E., Khaniabadi, Y.O., Prescher, A-K., Saitanis, C.J., Sase, H., Schmitz, A., Voigt, G., Watanabe, M., Wood, M.D., Kozlov, M.V., Paoletti, E., 2022: Strategic roadmap to assess forest vulnerability under air pollution and climate change. Global Change Biology 28(17): 5062–5085. https://doi.org/10.1111/ gcb.16278
Dinca, L., Murariu, G., Lupoae, M., 2025: Review Understanding the Ecosystem Services of Riparian Forests: Patterns, Gaps, and Global Trends. Forests 16(6): 947. https://doi.org/10.3390/f16060947
Douda, J., Čejková, A., Douda, K., Kochánková, J., 2009: Development of alder carr after the abandonment of wet grasslands during the last 70 years. Annals of Forest Science 66(7): 712–712. https://doi.org/10.1051/forest/2009065
Dukić, V., Maunaga, Z., Cvjetković, B., 2012: Razvojne karakteristike sastojina crne johe u Republici Srpskoj. Glasnik Šumarskog fakulteta Univerziteta u Banjoj Luci 16: 61–76.
European Environment Agency (EEA), 2006: Europe's environment: The fourth assessment. Copenhagen.
Federal Hydrometeorological Institute 2019: Hydrological Yearbook 2019. https://www.fhmzbih.gov.ba/podaci/hidro/godisnjak/2019%20godina.pdf
Federal Hydrometeorological Institute 2022a: Annual Air Quality Report in the Federation of Bosnia and Herzegovina for 2021. https://www.fhmzbih.gov.ba/PUBLIKACIJE/zrak/izvjestaj-
Federal Hydrometeorological Institute 2022b: Meteorological Yearbook 2022. https://www.fhmzbih.gov.ba/podaci/klima/godisnjak/G2022.pdf
Gao, X., Liu, J., Huang, Z., 2022: The impact of climate change on the distribution of rare and endangered tree Firmiana kwangsiensis using the Maxent modeling. Ecology and Evolution 12(8): e9165. https://doi.org/10.1002/ece3.9165
Gomes Marques, I., Faria, C., Conceiçao, S.I.R., Jansson, R., Corcobado, T., Milanović, S., Laurent, Y., Bernez, I., Dufour, S., Mandak, B., Ennouni, H., Sahili, A., Ater, M., Dorado, F.J., Delaunaj Caperta, A., Soares David, T., Solla, A., Rodriguez Gonzales, P.M., 2022: Germination and seed traits in common alder (Alnus spp.): the potential contribution of rear-edge populations to ecological restoration success. Restor. Ecol. 30(3): e13517. https://doi.org/10.1111/rec.13517
Gong, L., Li, X., Wu, S., Jiang, L., 2022: Prediction of potential distribution of soybean in the frigid region in China with MaxEnt modeling. Ecological Informatics 72: 101834. https://doi.org/10.1016/j.ecoinf.2022.101834
Havrdová, A., Douda, J., Doudová, J., 2023: Threats, biodiversity drivers and restoration in temperate floodplain forests related to spatial scales. Sci. Total Environ. 854: 158743. https://doi.org/10.1016/j.scitotenv.2022.158743
Hemery, G.E., Clark, J.R., Aldinger, E., Claessens, H., Malvolti, M.E., O'connor, E., Raftoyannis, Y., Savill, P.S., Brus, R., 2010: Growing scattered broadleaved tree species in Europe in a changing climate: a review of risks and opportunities. Forestry 83(1): 65–81. https://doi.org/10.1093/forestry/cpp034
Hrivnák, R., Svitok, M., Hegedüšová Vantarová, K., Jarolímek, I., Kochjarová, J., Májeková, J., Slezák, M., 2024: Environmental thresholds for plant species richness of black alder (Alnus glutinosa) forests in Central Europe. Wetlands Ecol Manage 32(4): 591–604. https://doi.org/10.1007/s11273-024-09997-w
Hrivnák, R., Jarčuška, B., Jarolímek, I., Kochjarová, J., Májeková, J., Hegedüšová Vantarová, K., Slezák, M., 2022: Comparative diversity of vascular plants in black alder floodplain and swamp forests of Central European biogeographical regions. Biodiversity Data Journal 10: e90281. https://doi.org/10.1007/s11273-024-09997-w
Hrivnák, R., Košťál, J., Slezák, M., Petrášová, A., Feszterová, M., 2013: Black alder dominated forests vegetation in the Western part of Central Slovakia – species composition and ecology. Hacquetia 12(2): 23–37. https://doi.org/10.2478/hacq-2013-0010
Jha, K.K., Jha, R., 2021: Study of Vulture Habitat Suitability and Impact of Climate Change in Central India Using MaxEnt. Journal of Resources and Ecology 12(1): 30–42. https://doi.org/10.5814/j.issn.1674-764x.2021.01.004.full
Kaky, E., Nolan, V., Alatawi, A., Gilbert, F., 2020: A comparison between Ensemble and MaxEnt species distribution modelling approaches for conservation: A case study with Egyptian medicinal plants. Ecological Informatics 60: 101150. https://doi.org/10.1016/j.ecoinf.2020.101150
Kimball, B.A., Mauney, J.R., Nakayama, F.S., Idso, S.B., 1993: Effects of increasing atmospheric CO2 on vegetation. Vegetatio 104(1): 65–75. https://doi.org/10.1007/BF00048145
Koljanin, D., Brujić, J., Čarni, A., Milanović, Đ., Škvorc, Ž., Stupar, V., 2023: Classification of Wetland Forests and Scrub in the Western Balkans. Diversity 15(3): 370. https://doi.org/10.3390/d15030370
Kozlowski, T.T., 1997: Responses of woody plants to flooding and salinity. Tree Physiology 17(7): 490–490. https://doi.org/10.1093/treephys/17.7.490
Laganis, J., Pečkov, A., Debeljak, M., 2008: Modeling radial growth increment of black alder (Alnus glutionsa (L.) Gaertn.) tree. Ecological Modelling 215(1–3): 180–189. https://doi.org/10.1016/j.ecolmodel.2008.02.018
Lakušić, R., Pavlović, D., Abadžić, S., Grgić, P., 1978: Prodromus biljnih zajednica Bosne i Hercegovine. Godišnjak Biološkog instituta Univerziteta u Sarajevu 30: 5–88.
Liu, D., Lei, X., Gao, W., Guo, H., Xie, Y., Fu, L., Lei, Y., Li, Y., Zhang, Z., Tang, S., 2022: Mapping the potential distribution suitability of 16 tree species under climate change in northeastern China using Maxent modelling. Journal of Forestry Research 33(6): 1739–1750. https://doi.org/10.1007/s11676-022-01459-4
Luedeling, E., Girvetz, E.H., Semenov, M.A., Brown, P.H., 2011: Climate Change Affects Winter Chill for Temperate Fruit and Nut Trees A. Traveset, ed. PLoS ONE 6(5): e20155. https://doi.org/10.1371/journal.pone.0020155
Lukyanets, V., Rumiantsev, M., Tarnopilska, O., Kobets, O., Musienko, S., Obolonyk, I., Bondarenko, V., Poznіakova, S., 2022: Distribution, productivity and natural regeneration of black alder (Alnus glutinosa (L.) Gaertn.) in Ukrainian Polissya. Folia Oecologica 49(2): 137–147. https://doi.org/10.2478/foecol-2022-0016
Mandák, B., Vít, P., Krak, K., Trávníček, P., Havrdová, A., Hadincová, V., Zákravský, P., Jarolímová, V., Bacles, C.F.E., Douda, J., 2016: Flow cytometry, microsatellites and niche models reveal the origins and geographical structure of Alnus glutinosa populations in Europe. Annals of Botany 117(1): 107–120. https://doi.org/10.1093/aob/mcv158
Martín, M.A., Moreno, R., Die, J.V., Cabrera, A., Castro, P., Pérez, M.D., Solla, A., 2024: Distribution, diversity and genetic structure of alders (Alnus lusitanica and A. glutinosa) in Spain. For. Ecol. Manag. 562: 121922. https://doi.org/10.1016/j.foreco.2024.121922
Milanović, Đ., Stupar, V., 2017: Riparian forest communities along watercourses in the Sutjeska National Park (SE Bosnia and Herzegovina). Glasnik Šumarskog fakulteta Univerziteta u Banja Luci 1(26): 95–111.
Mousseau, M., Saugier, B., 1992: The direct effect of increased CO2 on gas exchange and growth of forest tree species. Journal of Experimental Botany 43(8): 1121–1130. https://doi.org/10.1093/jxb/43.8.1121
Palmer, M.A., Reidy Liermann, C.A., Nilsson, C., Flörke, M., Alcamo, J., Lake, P.S., Bond, N., 2008: Climate change and the world's river basins: anticipating management options. Frontiers in Ecology and the Environment 6(2): 81–89. https://doi.wiley.com/10.1890/060148
Petitpierre, B., Broennimann, O., Kueffer, C., Daehler, C., Guisan, A., 2017: Selecting predictors to maximize the transferability of species distribution models: lessons from cross‐continental plant invasions. Global Ecology and Biogeography 26(3): 275–287. https://doi.org/10.1111/geb.12530
Phillips, S.J., Anderson, R.P., Schapire, R.E., 2006: Maximum entropy modeling of species geographic distributions. Ecological Modelling 190(3–4): 231–259. https://doi.org/10.1016/j.ecolmodel.2005.03.026
Phillips, S.J., Dudík, M., Schapire, R.E., 2004: A maximum entropy approach to species distribution modeling. In Twenty-first international conference on Machine learning – ICML '04. Twenty-first international conference. Banff, Alberta, Canada: ACM Press: 655–662 p. https://doi.org/10.1145/1015330.1015412
R Core Team. 2020: R: A Language and Environment for Statistical Computing. R Foundation for Statistical Computing. https://www.r-project.org/.
Radosavljevic, A., Anderson, R.P., 2014: Making better Maxent models of species distributions: complexity, overfitting and evaluation. M. Araújo, ed. Journal of Biogeography 41(4): 629–643. https://doi.org/10.1111/jbi.12227
Rodríguez-González, P.M., Campelo, F., Albuquerque, A., Rivaes, R., Ferreira, T., Pereira, J.S., 2014: Sensitivity of black alder (Alnus glutinosa [L.] Gaertn.) growth to hydrological changes in wetland forests at the rear edge of the species distribution. Plant Ecology 215(2): 233–245. https://doi.org/10.1007/s11258-013-0292-9 7
Rodríguez-González, P.M., Stella, J.C., Campelo, F., Ferreira, M.T., Albuquerque, A., 2010: Subsidy or stress? Tree structure and growth in wetland forests along a hydrological gradient in Southern Europe. Forest Ecology and Management 259(10): 2015–2025. https://doi.org/S0378112710001027
Rutkowski, P., Konatowska M., Wajsowicz, T.S., 2019: Tree-soil-water relationships in Euroepan black alder forest – case study. Mehanizaion in agriculture & Conserving of the resources 65(6): 200–203.
Rojo, J., Fernández-González, F., Lara, B., Bouso, V., Crespo, G., Hernández-Palacios, G., Rodríguez-Rojo, M.P., Rodríguez-Torres, A., Smith, M., Pérez-Badia, R., 2021: The effects of climate change on the flowering phenology of alder trees in southwestern Europe. Mediterranean Botany 42: e67360. https://doi.org/10.5209/MBOT.67360
Sakalli, A., 2017: Simulation of potential distribution and migration of Alnus spp. under climate change. Applied Ecology and Environmental Research 15(4): 1039–1070. https://doi.org/10.15666/aeer/1504_10391070
Sallmannshofer, M., Chakraborty, D., Vacik, H., Illés, G., Löw, M., Rechenmacher, A., Lapin, K., Ette, S., Stojanović, D., Kobler, A., Schueler, S., 2021: Continent-Wide Tree Species Distribution Models May Mislead Regional Management Decisions: A Case Study in the Transboundary Biosphere Reserve Mura-Drava-Danube. Forests 12(3): 330. https://doi.org/10.3390/f12030330
Slezák, M., Hrivnák, R., Machava, J., 2017: Environmental controls of plant species richness and species composition in black alder floodplain forests of central Slovakia. Tuexenia 37(1): 79–94. https://doi.org/10.14471/2017.37.006
Slezák, M., Hrivnák, R., Petrášová, A., 2011: Syntaxonomy and Ecology of Black Alder Vegetation in the Southern Part of Central Slovakia. Hacquetia 10(2): 119–136. https://content.sciendo.com/doi/10.2478/v10028-011-0006-6
Starčević, M., Kumalić, Dž., Čabaravdić, A., 2023: Environmental function of black alder (Alnus glutinosa L. Gaertn.) trees based on structural indicators in Bosna river basin. In International Conference on Environmental Science and Technology (ICOEST), Sarajevo.
Starčević, M., Slebioda L., Kumalić, Dž., Čabaravdić, A., 2024: Environmental effects on physiological index of black alder (Alnus glutinosa L. Gaertn.) dominant trees in central Bosnia. Agriculture&Forestry 70(2): 7–23. https://doi.org/10.17707/AgricultForest.70.2.1
Stefanović, V., Beus, V., Burlica, Č., Dizdarević, H., Vukorep, I., 1983: Ekološko-vegetacijska rejonizacija Bosne i Hercegovine. Radovi Šumarskog fakulteta Univerziteta u Sarajevu 17(1): 1–83. https://doi.org/10.54652/rsf.1983.v1.i17.275
Swets, J.A., 1988: Measuring the Accuracy of Diagnostic Systems. Science 240(4857): 1285–1293. https://doi.org/10.1126/science.3287615
Temperton, V.M., Grayston, S.J., Jackson, G., Barton, C.V.M., Millard, P., Jarvis, P.G., 2003: Effects of elevated carbon dioxide concentration on growth and nitrogen fixation in Alnus glutinosa in a long-term field experiment. Tree Physiology 23(15): 1051–1059. https://doi.org/10.1093/treephys/23.15.1051
Tulik, M., Grochowina, A., Jura-Morawiec, J., Bijak, S., 2020: Groundwater Level Fluctuations Affect the Mortality of Black Alder (Alnus glutinosa Gaertn.). Forests 11(2): 134. https://doi.org//1999-4907/11/2/134
Vogel, C.S., Curtis, P.S., Thomas, R.B., 1997: Growth and nitrogen accretion of dinitrogen-fixing Alnus glutinosa L. Gaertn. under elevated carbon dioxide. Plant Ecology 130(1): 63–70. https://doi.org/10.1023/A:1009783625188
Vukelić, J., Baričević, D., List, Z., Šango, M., 2006: A contribution to the phytocoenological research of forests of common alder Alnus glutinosa Gaertn. in Podravina. Croatian Forestry Society 130(11–12): 479–492.
Vukelić, J., Vojnikovic, S., Ugarković, D., Bakšić, D., Mikac, S., 2010: The Influence of Climate Change on Tree Species Distirbution in South-East Europe. In S. Simard, ed. Climate Change and Variability, Sciyo.
Walden-Schreiner, C., Leung, Y.-F., Kuhn, T., Newburger, T., Tsai, W.L., 2017: Environmental and managerial factors associated with pack stock distribution in high elevation meadows: Case study from Yosemite National Park. Journal of Environmental Management 193: 52–63. https://doi.org//S0301479717301007
Wang, Z., Xu, D., Liao, W., Xu, Y., Zhuo, Z., 2023: Predicting the Current and Future Distributions of Frankliniella occidentalis (Pergande) Based on the MaxEnt Species Distribution Model. Insects 14(5): 458. https://doi.org/10.3390/insects14050458
Yang, W., Huang, Z., Fu, C., Zhao, Z., Yang, X., Hu, Q., Wang, Z., 2025: Predicting Range Shifts of Five Alnus (Betulaceae) Species in China Under Future Climate Scenarios. Plants 14(11): 1597. https://doi.org/10.3390/plants14111597
© 2025 by the authors. Submitted for possible open access publication under the
terms and conditions of the Creative Commons Attribution (CC BY) license (http://creativecommons.org/licenses/by/4.0/).
Authors' addresses:
Mirsada Starčević, MSc *
e-mail: m.starcevic@sfsa.unsa.ba
Prof. Azra Čabaravdić, PhD
e-mail: a.cabaravdic@sfsa.unsa.ba
University Sarajevo
Faculty Forestry
Department for Forest ecology and urban greenery
Zagrebačka 20
71000, Sarajevo
BOSNIA AND HERZEGOVINA
* Corresponding author
Received: August 19, 2024
Accepted: June 19, 2025
Original scientific paper

