Work Process Analysis and Workload of a Choker Setter in Timber Extraction Operations by Konrad Mounty 4000 Cable Yarder
doi: https://doi.org/10.5552/crojfe.2026.3901
volume: issue, issue:
pp: 8
- Author(s):
-
- Krč Janez
- Article category:
- Original scientific paper
- Keywords:
- wood extraction by cable yarder, choker setter, time study, workload
Abstract
HTML
This paper examines the workload of the choker setter in timber extraction operations using the Konrad Mounty 4000 cable yarder. A time study was conducted, measuring the choker setter's heart rate and productivity at varying extraction distances for both »uphill« and »downhill« extraction directions. Heart rate data collected during work was analyzed to evaluate the choker setter's workload in relation to both extraction distance and direction. A total of 257 cycles were recorded across four worksites with similar harvesting performance characteristics. This heart rate data facilitated an analysis of the choker setter’s workload as influenced by field and technological factors.
The results indicate that the workload comprises both physical and mental components and generally decreases with increasing extraction distance. The analysis of the measurements indicates that heart rate variability is significantly greater on »downhill« worksites compared to »uphill« worksites. This is a consequence of the different structure of working time at worksites with different directions of timber extraction, as well as the specific characteristics of the work process that affect the workload of the choker setter. Consequently the study has highlighted some insights that can guide the optimization of the choker setter’s workload as an essential factor in designing an efficient work process.
Work Process Analysis and Workload of a Choker Setter in Timber Extraction Operations by Konrad Mounty 4000 Cable Yarder
Janez Krč
https://doi.org/10.5552/crojfe.2026.3901
Abstract
This paper examines the workload of the choker setter in timber extraction operations using the Konrad Mounty 4000 cable yarder. A time study was conducted, measuring the choker setter's heart rate and productivity at varying extraction distances for both »uphill« and »downhill« extraction directions. Heart rate data collected during work was analyzed to evaluate the choker setter's workload in relation to both extraction distance and direction. A total of 257 cycles were recorded across four worksites with similar harvesting performance characteristics. This heart rate data facilitated an analysis of the choker setter’s workload as influenced by field and technological factors.
The results indicate that the workload comprises both physical and mental components and generally decreases with increasing extraction distance. The analysis of the measurements indicates that heart rate variability is significantly greater on »downhill« worksites compared to »uphill« worksites. This is a consequence of the different structure of working time at worksites with different directions of timber extraction, as well as the specific characteristics of the work process that affect the workload of the choker setter. Consequently the study has highlighted some insights that can guide the optimization of the choker setter’s workload as an essential factor in designing an efficient work process.
Keywords: wood extraction by cable yarder, choker setter, time study, workload
1. Introduction
Timber extraction by cable yarder is the predominant form of timber extraction on steep terrain where other methods of wood extraction are less suitable or inappropriate (Duka et al. 2018). However, in the last decade, we have witnessed a proliferation in the technological range of working systems suitable for steep terrain (Visser and Stampfer 2015, Erber et al. 2025). Specific great advancements on cable yarder carriage and its electrification has beeen noticed in recent years (Varch et al. 2021, Leitner et al. 2023, Spinelli et al. 2023). Alongside this technological development, there has been an increase in the use of these systems. For example in Alpine forests, cable yarder systems are the most relevant, almost dominant harvesting sistem (Engler et al. 2024). Timber harvesting is also increasingly being carried out on environmentally sensitive areas due to climate change, within increasingly fragile forest ecosystems (Abbas et al. 2018). Cable yarder harvesting system is a system that uses a forestry cable yarder, carriage, hidraulic loader and processor head as a tool to skid timber from the harvesting site to a temporary storage area (landing) where manipulation is carried out, and often also processing, bucking and loading for further transport of the timber.
Timber harvesting technology and occupational safety have advanced significantly with the introduction of modern, mobile universal multi-drum cable yarders with tower, combined with hydraulic crane and processing heads. Ergonomic improvements for the operator are being integrated including cab design with greatly improved visibility and partially automated electric over hydraulic control systems (Visser and Harrill 2017). Increased labor efficiency has been achieved through the streamlining of mounting and dismounting processes, the adoption and growing use of the full-tree harvesting method, and the subsequent processing at the temporary timber storage site using the processor head. Additionally, remote (radio-controlled) carriages and the optimization of the choker setter's tasks at the felling site have further improved efficiency (Cavalli and Amishev 2019). Modern forestry cable yarders are equipped with increasingly sophisticated accessories and numerous sensors that enable the optimization, rationalization and even automation of the specific parts of work process. The rationalization of individual work elements can have direct or indirect impacts on the entire workflow, affecting both productivity and the workload of the entire crew. For instance, the automation of cable yarder control during the full and empty carriage runs directly and indirectly influences the performance of other tasks at the logging site, in the machine operator’s cabin, and at the temporary timber storage area on the forest road (Aalmo 2023).
Cable yarding is typically carried out on demanding and difficult terrain, where in addition to the physical workload, the mental stress on the work crew is also substantial (Spinelli et al. 2020a). The productivity and efficiency of timber extraction by cable yarder depend on numerous factors (Lindroos and Cavalli 2016, Holzfeind et al. 2018, Spinelli et al. 2020b), among which appropriate work design, with a particular focus on occupational safety, plays an important role. The setup of the work team can vary, primarily depending on the specifics of the work process (e.g. thinning or final felling, wood skidding method, space capacities within the stand and at the forest road landing) and the stage of machine development. In addition to the machine operator, the only other permanent member of the crew is the choker setter; both may perform additional operations necessary for wood extraction. For example, the choker setter may also carry out tree felling and load preparation under certain stand conditions, while the machine operator may unhook the load and, when operating the processor head, process and sort timber assortments. With general labor shortages (Šporčić et al. 2023), forestry companies are often forced to rationalize work team setups, grouping work processes per individual worker. This can result in an increase in worker workload and, consequently, reduced safety on the job (Tsioras et al. 2011, Allman et al. 2017).
To conduct efficient timber extraction with a cable yarder, it is important to regulate and control the workload, especially that of the choker setter. His work is both physically and mentally demanding, requiring competence, training and a high level of concentration and coordination (Spinelli et al. 2020a). The manner and quality of the choker setter's work have a decisive impact on the smooth execution of wood extraction with minimal delays, as well as on workplace safety.
A relatively large number of studies address the technical characteristics, terrain conditions, forest attributes and environmental impacts of timber extraction by cable yarder (Lindroos and Cavalli 2016, Holzfeind et al. 2018, Spinelli et al. 2020b). However, fewer studies focus on the physical workload and mental stress factors experienced by the work team during timber extraction by cable yarder (Abbas et al. 2018). In this respect, our study specifically examines how the selection of worksites, regarding to yarding direction and yarding distance, and the execution of the work itself affect the physical workload of the choker setter.
This challenge was based on practical experience and, consequently, on the observations of workers (choker setters) carrying out work on two various sites, according to the extraction direction and distance. The working hypothesis that guided our research was the assumption that the workload of a choker setter decreases with increasing wood extraction distance.
2. Materials and Methods
2.1 Research Objects
Measurements were carried out separately at two cable yarder worksite locations (research objects): one with an »uphill« extraction direction and the other with a »downhill« extraction direction. The choice of worksites was based on the assumption that the selected sites had comparable relief and forest stand characteristics in the areas where measurements were conducted, as these factors impact the performance of the work process. Another important criterion for selecting the research objects was that the height of the mainline above the worksite and the bunching distance were as similar as possible between the two sites (short and long extraction distances).
Table 1 Basic data on worksites
|
Object/Worksite |
»Uphill« yarding direction |
»Downhill« yarding direction |
|
Forest section |
05111B |
01057A |
|
Size, ha |
2 |
2 |
|
Line length, m |
745 |
510 |
|
Harvesting density, m3/m |
0.96 |
0.75 |
|
Quantity of wood on the line, m3 |
720 |
384 |
|
No. of cycles recorded |
126 |
131 |
The »uphill« site was located in the Tolmin Forest Management Region, within the Baška grapa Forest Management Unit. The growing stock of the section was 440 m³/ha, with beech as the dominant species in an old-growth forest development stage. A rejuvenation felling operation was conducted. All trees within a strip one tree height wide were marked for harvesting. The mainline traversed the slope with an average gradient between 30° and 35°. The forest road landing, used for storing and processing timber assortments, was small (with a capacity of approximately 70 m³), requiring regular timber transport by a forestry trailer. On the first day (shorter extraction distances), 73 cycles were recorded, and on the second day (longer extraction distances), 53 cycles were recorded.
The »downhill« site was also located in the Tolmin Forest Management Region, within the Soča – Trenta Forest Management Unit. The mainline passed through a mixed stand of spruce and beech in the pole and coppice stand development stage. All spruce trees were selected for felling due to a bark beetle infestation in the area. Part of the site included trees felled after a 2020 windstorm; however, due to poor timber quality, harvesting was only partially completed. The site is situated on moderately steep terrain with a high degree of rocky terrain. Rocks occasionally rolled down the slope during timber extraction, requiring extra care and attention from the choker setter, though the cable yarder was not threatened as tree felling was conducted across the slope, with fallen trunks preventing further rock movement. The average slope of the line was 32°. On the first day of recording (shorter extraction distances), 72 cycles were recorded, and on the second day (longer extraction distances), 59 cycles were recorded.
At both worksites, the universal cable crane Konrad Mounty 4000 was used. The machine is designed for timber extraction on terrain within the reach limited by the length of the carrying cable on the drum (in our case, 800 m). In combination with the Liftliner – LL40 carriage, it allows for quick setup of cable lines and is suitable for both »uphill« and »downhill« extraction.
Due to the use of a processor head for tree processing, the tree-length method was generally applied. In the case of larger tree diameters or when limited by the load capacity of the cable crane, assortments were cut to match the optimal load weight. Many loads were therefore combined or represented a mix of full-tree, half-tree, assortment, and tree-length methods. Because of this high variability, we did not methodically differentiate the loads.
The system productivity was derived from the onboard computer. The software enables precise recording of daily timber volumes, separated by worksite, tree species, or the number of produced pieces.
2.2 Measuring Equipment
For the time study, we used an electronic chronometer (smartphone, accuracy one second) with a continuous method to capture the duration of each work element. For heart rate measurement, we used a Suunto device model Smart belt, which was placed on the worker's chest like a belt. This device measures the worker's heart rate data (absolute values) and allows recording without the need to wear a wristwatch simultaneously. After the heart rate measurement was completed, the worker brought the watch close to the belt to connect the devices, transferred the data to the watch and completed the measurement. A significant advantage of the instrument is that the belt operates as a completely self-contained unit, minimizing disruption to the worker. At the end of the workday or recording session, the watch was connected to a computer to capture and store all the data recorded by the instrument during the field measurements.
2.3 Choker Setter and His Work Process
Relevant information about the choker setter and his work are summerized bellow for interpreting the research results. The choker setter was 31 years old, 180 cm tall and weighed 83 kg. He completed vocational secondary school and has six years of work experience (five years as a tree feller and a choker setter). The work of a choker setter includes setting up and taking down the cable yarder (anchoring, setting supports and transporting equipment around the worksite), untying the ropes, bunching and operating the carriage. The National Vocational Qualification (NVQ) for a cable yarder operator is sufficient to work as a choker setter. In practice, it is common for the entire crew to have completed the NVQ qualification for tree felling. Frequently, choker setting requires knowledge and skills in chainsaw operation. Even when felling trees on cable yarder routes, the work is often performed by two and sometimes three workers.
2.4 Time Study
The time study elements were adapted for the research purpose. A clear definition of time study element points (i.e., determining the moments when the next time element obviously starts and the current element ends) is essential for accurately dividing the workflow. For this research, a guideline was followed to divide the workflow based on who directly operates or controls the cable yarder system. Specifically, control of the cable yarder operation is transferred from the machine operator in the cabin, through the automated execution of the empty and full carriage runs, to the choker setter. The following work elements were identified (Table 2).
Table 2 Division of the harvesting phase into working operations
|
Time element |
Demarcation point/Description of procedure |
|
Preparation – Closing time |
Time from the start of recording to the first work element and from the end of the last work element to the end of the working day |
|
Carriage empty |
From the moment the machine operator sends the carriage toward the choker setter using the automatic function |
|
Hooking |
From the moment the carriage is operated by the choker setter; includes unwinding |
|
Bunching |
From the moment the choker setter activates the button to start bunching |
|
Carriage full |
From the moment the choker setter sends the carriage toward the cable yarder; full travel control is automatic (automatic function) |
|
Dropping, Unhook |
From the moment the machine operator takes over the operation of the carriage |
|
Objective downtime due to work process |
When the fully loaded carriage is idle, waiting for the machine operator to process the assortments |
|
Objective downtime due to organization |
Consultation with the foreman about the work, waiting to load the truck at the lift depot, etc. |
3. Results and Discussion
The research was conducted across four distinct worksites categorized by extraction direction and distance. There were two primary worksite locations (research objects): one with an »uphill« extraction direction and other with a »downhill« extraction direction. Each of these sites was further divided into two worksites based on extraction distance (short and long). This resulted in a total of four separate worksites: »uphill–short«, »uphill–long«, »downhill–short« and »downhill–long«. Table 3 provides key information on the influencing factors for each of these worksites.
Table 3 Cable yarder lines data and harvesting volumes at the analyzed worksites (Ambrožič 2024)
|
Object/Worksite |
»Uphill« short distance |
»Uphill« long distance |
»Downhill« short distance |
»Downhill« long distance |
|
Extraction distance, m |
150–200 |
650–700 |
150–200 |
400–450 |
|
Average load, m 3 |
1.14 |
1.25 |
1.08 |
1.07 |
|
No. of cycles recorded |
73 |
53 |
72 |
59 |
|
Average cycle time (productive time/number of cycles) min/cycle |
5.88 |
7.50 |
5.27 |
7.18 |
|
Daily productivity, m3/8h |
83.5 |
66.24 |
77.4 |
63.2 |
The »uphill« site with the long extraction distance had a slightly longer extraction distance than the »downhill« site with the long extraction distance. The »uphill« worksites also had slightly larger loads, and the average duration of extraction cycles was marginally longer than at the »downhill« worksites. Nevertheless, higher daily productivity was recorded on average at the »uphill« sites, likely due in part to the larger average load volume.
The structure of the time study (absolute and relative) is presented in Table 4.
Table 4 Time structure results in absolute duration (min) and percentages (%) at the research worksites (Ambrožič 2024)
|
Object/Worksite (extraction distance) |
Carriage empty |
Hooking |
Bunching |
Carriage full |
Dropping, Unhook |
Delays (total) |
|
»Uphill« short distance |
40.1 (8%) |
133.4 (28%) |
56.0 (12%) |
43.2 (9%) |
156.8 (32%) |
55.4 (11%) |
|
»Uphill« long distance |
82.7 (18%) |
114.1 (25%) |
31.4 (7%) |
91.3 (20%) |
78.4 (17%) |
66 (14%) |
|
»Downhill« short distance |
31.3 (7%) |
177.9 (38%) |
21.4 (5%) |
34.3 (7%) |
114.6 (25%) |
85.2 (18%) |
|
»Downhill« long distance |
45.1 (10%) |
213.2 (45%) |
20.2 (4%) |
52.6 (11%) |
93 (20%) |
49.1 (10%) |
|
Average |
10.6% |
33.9% |
6.8% |
11.8% |
23.4% |
13.6% |
The recorded time structure shows a ratio between productive and unproductive time of 86.4% to 13.6%. The automated part of the process (carriage empty and carriage full) accounted for 22.4% of the average recorded time, while a similar proportion was under the direct control of the machine operator (23.4%). The largest average proportion of recorded time was spent on the work of the choker setter (40.7%). The smallest proportion of time spent by the choker setter was recorded at the »uphill« site with the long extraction distance (31%) and the largest at the »downhill« site with the long extraction distance (49%).
The results show that the way in which the choker setter’s work is carried out has the greatest impact on the time structure of the entire work process and, consequently, on the relationship between Main and Complementary Work Time and between Main Work Time and Non-Work Time (Björheden et al. 1991). This ratio in turn has a direct impact on the productivity of the wood extraction operation by the cable yarder. In fact, high performance is directly dependent on maximizing the proportion of Main Work Time (carriage empty and carriage full) and minimizing the proportion of Complementary Work Time and all Non-Work Time. The results show that the highest share of Complementary Work Time is related to the work of the choker setter. It is therefore important that his work is designed as optimally as possible. However, the effectiveness of work design can also be measured by the magnitude of the stress (physical and mental) that the choker setter is subjected to during the work process (effective work design results in less stress durig the work process).
Table 5 Average choker setter heart rate with analysis of differences across worksites (extraction directions and extraction distances)
|
Extraction distance (worksite locations) |
Number of cycles |
Average heart rate bits/min |
Variance |
t value |
p value |
|
»Uphill« short distance |
73 |
137.35 |
45.74 |
2.6* |
0.012 |
|
»Uphill« long distance |
52 |
132.79 |
126.06 |
||
|
»Downhill« short distance |
70 |
142.68 |
275.38 |
6.5** |
2.82E-09 |
|
»Downhill« long distance |
59 |
127.92 |
73.41 |
||
|
Short distance (»Uphill« and »Downhill«) |
143 |
139.96 |
164.16 |
6.8** |
9.10E-11 |
|
Long distance (»Uphill« and »Downhill«) |
111 |
130.2 |
103.11 |
||
|
»Uphill« (short and long extraction distance) |
125 |
135.45 |
83.49 |
0.3 |
0.76 |
|
»Downhill« (short and long extraction distance) |
129 |
135.93 |
239.18 |
||
|
* Significant difference at α=0.05; ** significant difference at α=0.01 |
|||||
The results of the heart rate measurements (Table 5) during the choker setter’s work time show statistically significant differences between the long and short extraction distances, as well as specifically between individual worksite cases with long and short extraction distances. Both findings confirm the assumption that on short extraction distances, the choker setter’s workload is greater than on worksites with long extraction distances. The largest difference in average heart rate was observed on the »downhill« site between short and long extraction distances. Further analysis of the measurements also indicates that heart rate variance is much greater on »downhill« worksites compared to »uphill« worksites. This high variability may be caused by the occurrence of uncontrolled, jerky entanglement of assortments in the load, which happens more frequently during transport along the main line on »downhill« sites. In contrast, on »uphill« sites, the load is usually better controlled on the main line to the landing (typically located on the forest road).
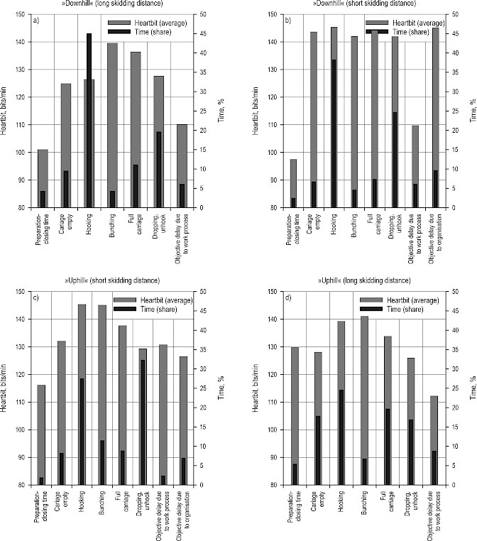
The measured heart rates and the structure of the recorded times are shown in Fig. 1.

Fig. 1 Structure of time elements and heart rates by work elements at the analyzed sites (a) »Downhill« (long skidding distance), b) »Downhill« (short skidding distance), c) »Uphill« (short skidding distance), d) »Uphill« (long skidding distance))
The hooking and bunching work elements occupy a relatively large proportion of time at both sites. Unlike the long extraction distances, the choker setter’s heart rate remains consistently high on the short extraction distances. This is due to the more rapid cycle changes at short distances, which reduces the time available for the heart rate to settle (a process not under the direct control of the choker setter) compared to long extraction distances.
The relatively high proportion of hooking time for long »downhill« distances can also be attributed to additional load preparation, which requires logs to be hooked at the thicker end. This setup facilitates easier load management during bunching to the main line. Regardless of terrain configuration, the »Carriage Full« work element operates more smoothly when the load center of gravity is closer to the main line. This is particularly true for »downhill« skidding operations with low main line heights, where sudden large jolts are more likely when skidding towards the landing area at the forest road.
Mental stress also contributes to the physical workload of the choker setter. This conclusion is supported by the prevalence of high measured heart rates during the timber harvesting process. Since the choker setter is not typically under substantial physical load during the »Bunching« work element, elevated heart rate values can likely be attributed to increased mental stress. Mental stress accompanies the process of bunching the load to the main line, where the working system ropes are under tension, and the load may often be caught on obstacles, increasing mental strain on the choker setter. The highest workload for the choker setter was reported during the transport (bunching) process, which aligns with the findings of other studies (Cho et al. 2021).
The same study (Cho et al. 2021) showed that the workload level for choker setters ranged from moderate to heavy. The results of this study indicated that the choker setters' workload was classified as very heavy (based on workload classification according to heart rate). Similarly, in both studies, it can be concluded that the workload of the preceding work element affected the following one – especially in case of short extraction distances.
4. Conclusions
The survey has highlighted several insights that can guide the optimization of the choker setter’s workload as an essential factor in designing an efficient work process for timber extraction by cable yarder.
- the biggest proportion of the work process is under the choker setter’s control, making the optimization of his work procedures and workload crucial to the safety and efficiency of timber extraction by cable yarder
- from a productivity perspective, the processes managed by the choker setter are classified as Complementary Work Time. However, Complementary Work Time should be minimized as much as possible to improve overall system performance. There are several possibilyties – for instance reducing the choker setter's workload also depends on directional tree felling, which has been shown to be effective for timber extraction when trees are felled in the opposite direction of the timber bunching path to the main line (by hooking loads to the thicker end). Hooking by the thicker end ensures better control over the load, reduces uncontrolled and jerky entanglement during bunching to the main line and transport along it (especially in cases of low main line heights), and decreases the likelihood of logs unhooking and subsequent loss of assortments
- different worksites impose varying levels of workload on the choker setter, encompassing both physical and mental stress, with both types fluctuating across work time elements and worksite conditions. Based on heart rate analysis, physical loads are highest during hooking, preparation and bunching, while mental stress is high when the load is bunched to the main line and during the Carriage Full phase, where the load is transported to the landing
- the highest heart rate values were recorded over short extraction distances when timber was skidded »downhill«. The increased workload for the choker setter in »downhill« extraction can be attributed to extraction distance length and poorer load control. At shorter extraction distances, cycles follow each other more quickly, which allows the choker setter less time to recover from direct workload and control over the wood extraction operation.
The structure of the time study did not allow for a detailed analysis of additional times and workloads required for alternative work designs. For instance, we did not record separate time elements for preparing logs (e.g. turning logs to hook them at the thicker end). Therefore, we lack data on time differences and choker setter workloads in the alternative workflow involving directional tree felling and hooking the logs. The key question is how directional tree felling (1) shortens the wood bunching distance and (2) impacts additional load preparation when hooking logs at the thicker end. A targeted study should be carried out to address the effectiveness of directional tree felling over longer bunching distances.
Acknowledgments
This research was funded by the CRP research project Planning technologies and quality assessment of forest works in support of the bioeconomy (CRP V4-2209), funded by the Ministry of Agriculture, Forestry and Food and the Slovenian Research and Innovation Agency.
Additional support was provided by the Slovenian Research Agency, the research program »Forest wood value chain and climate change: transition to circular bioeconomy« (P4-0430).
5. References
Aalmo, G., Kerstens, P., Belbo, H., Bogetoft, P., Talbot, B., Strange, N., 2021: Efficiency drivers in harvesting operations in mixed boreal stands: a Norwegian case study. International Journal of Forest Engineering 32(1): 74–86. https://doi.org/10.1080/14942119.2020.1778980
Aalmo, G., Spinelli, R., Magagnotti, N., Visser, R., 2023: Quantitative and qualitative workload assessment in steep terrain forest operations: fostering a safer work environment through yarder automation. Ergonomics 66(6): 717–729. https://doi.org/10.1080/00140139.2022.2123562
Abbas, D., Di Fulvio, F., Spinelli, R., 2018: European and United States perspectives on forest operations in environmentally sensitive areas. Scandinavian Journal of Forest Research 33(10): 188–201. https://doi.org/10.1080/02827581.2017.1338355
Allman, M., Jankovsky, M., Allmanová, Z., Ferencík, M., Messingerová, V., Vlcková, M., Stoilov, S., 2017: Work accidents during cable yarding operations in Central Europe 2006-2014. Forest Systems 26(1): e011. https://doi.org/10.5424/fs/2017261-10365
Ambrožič, L., 2024: Effects of Cable Crane Konrad Mounty 4000 and Physiological Workload of the Chokerman. BSc. Thesis, University of Ljubljana Biotechnical Faculty, Ljubljana.
Björheden, R., 1991: Basic Time Concepts for International Comparisons of Time Study Reports. Journal of Forest Engineering 2(2): 33–39. https://doi.org/10.1080/08435243.1991.10702626
Cavalli, R., Amishev, D., 2019: Steep terrain forest operations - challenges, technology development, current implementation, and future opportunities. International Journal of Forest Engineering 30(3): 175–181. https://doi.org/10.1080/14942119.2019.1603030
Cho, M., Jeong, E., Lee, E., Oh, J., Han, S., 2021: Assessment of Physical Workload of Choker Setter in Tree-length Extraction Operation by Cable Yarder. Sensors and Materials 33(11): 3863–3872. https://doi.org/10.18494/SAM.2021.3607
Đuka, A., Grigolato, S., Papa, I., Pentek, T., Poršinsky, T., 2017: Assessment of timber extraction distance and skid road network in steep karst terrain. Iforest-Biogeosciences and Forestry 10(6): 886–894. https://doi.org/10.3832/ifor2471-010
Đuka, A., Poršinsky, T., Pentek, T., Pandur, Z., Vusić, D., Papa, I., 2018: Mobility Range of a Cable Skidder for Timber Extraction on Sloped Terrain. Forests 9(9): 526. https://doi.org/ 10.3390/f9090526
Erber, G., Spinelli, R., 2020: Timber extraction by cable yarding on flat and wet terrain: a survey of cable yarder manufacturer's experience. Silva Fennica 54(2): 10211. https://doi.org/ 10.14214/sf.10211
Holzfeind, T., Stampfer, K., Holzleitner, F., 2018: Productivity, set-up time and costs of a winch-assisted forwarder. Journal of Forest Research 23(2): 196–203. https://doi.org/10.1080/13416979.2018.1483131
Kaakkurivaara, N., Stampfer, K., 2018: Assessment for Improvement: Harvesting Operations in Small-Scale Forest on Thai Steep Terrain. Small-Scale Forestry 17(2): 259–276. https://doi.org/10.1007/s11842-017-9386-x
Lindroos, O., Cavalli, R., 2016: Cable yarding productivity models: a systematic review over the period 2000–2011. International Journal of Forest Engineering 27(2): 79–94. https://doi.org/10.1080/14942119.2016.1198633
Spinelli, R., Magagnotti, N., Labelle, E., 2020a: The Effect of New Silvicultural Trends on the Mental Workload of Harvester Operators. Croatian Journal of Forest Engineering 41(2): 177–190. https://doi.org/10.5552/crojfe.2020.747
Spinelli, R., Visser, R., Magagnotti, N., Lombardini, C., Ottaviani, G., 2020b: The effect of partial automation on the productivity and cost of a mobile tower yarder. Annals of Forest Research 63(2): 3–14. https://doi.org/10.15287/afr.2020.1883
Šporčić, M., Mijoć, D., Bakarić, M., Pandur, Z., Bačić, M., Landekić, M., 2023: The Challenge Of Recruiting Forestry Workforce In Europe And Worldwide. Šumarski List 147(5–6): 239–251. https://doi.org/10.31298/sl.147.5-6.4
Tsioras, P., Rottensteiner, C., Stampfer, K., 2011: Analysis of Accidents During Cable Yarding Operations in Austria 1998–2008. Croatian Journal of Forest Engineering 32(2): 549–560.
Visser, R., Stampfer, K., 2015: Expanding Ground-based Harvesting onto Steep Terrain: A Review. Croatian Journal of Forest Engineering 36(2): 321–331.
© 2026 by the authors. Submitted for possible open access publication under the
terms and conditions of the Creative Commons Attribution (CC BY) license (http://creativecommons.org/licenses/by/4.0/).
Author's address:
Prof. Janez Krč, PhD *
e-mail: Janez.krc@bf.uni-lj.si
University of Ljubljana
Biotechnical Faculty
Department of Forestry and Renewable Forest Resources
Večna pot 83
1000, Ljubljana
SLOVENIA
Received: November 08, 2024
Accepted: September 15, 2025
Original scientific paper

